Introduction: Rabies is one of the oldest and deadliest infectious diseases known by human beings and is commonly transmitted by
animal bites. Dogs have a major...

read article

Primary lung tumors in the pediatric age group are rare, histologically diverse and have different therapeutic approaches. The inflammatory myofibroblastic tumor ...

read article

Introduction: Eustachian tube dysfunction is a common cause of morbidity in both adults and children, associated with nasal and otologic symptoms. S...

read article

Introduction: Infectious keratitis is an important cause of visual loss. The purpose of this study was to investigate anterior segment optical co...

read article

Ingestion of high doses of nutmeg causes potentially serious and disabling medical and psychiatric consequences. No isolated component of nutmeg has been identifi...

read article

Introduction: The emergence of β-lactamases producing bacteria is a problem worldwide, with increasing importance in community-acquired infe...

read article

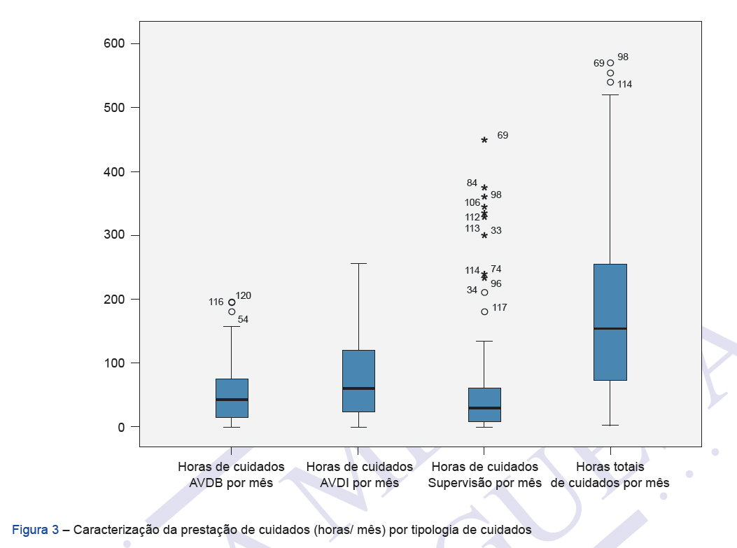
Introduction: From a perspective that considers the costs borne by the informal caregiver and the care-recipient, this study quantifies and values the use of heal...

read article

Rubella is a vaccine preventable infection, and congenital rubella the most feared complication of this disease. Although young adult women are at greatest risk o...

read article

Botulinum toxin type A has been approved for spasticity management in poststroke patients. The adverse effects are generally of two types: those related to local ...

read article

Este site utiliza cookies para permitir uma melhor experiência por parte do utilizador. Ao navegar no site estará a consentir a sua utilização.